I set this problem today, during a lesson in which we had been looking at simultaneous equations with 2 unknowns:
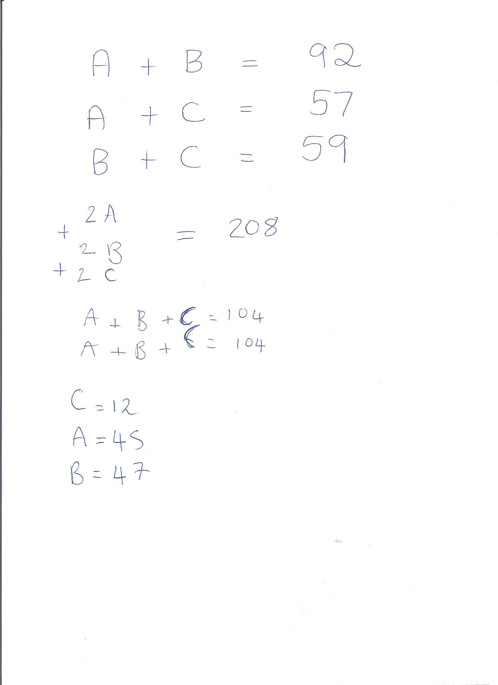
A + B = 92
A + c = 57
B + C = 59
M came up with this answer:
POSTSCRIPT –
M then set me this problem:
A-B = 25
B+C = 151
A+C = 176
which turned out to have an unexpected twist in it….. Have fun!

How very nice…well spotted that girl!
ages since I have looked at something like this – it woke me up – thanks